hamburger menu
All Coursesall course arrow
adda247
reward-icon
adda247
    arrow
    arrow
    arrow
    Consider two identical semicircles and one circle inscribed in a rectangle of length 10 cm as shown in the figure given below. (Take π = 3.14 and&
    Question

    Consider two identical semicircles and one circle inscribed in a rectangle of length 10 cm as shown in the figure given below.
    (Take π = 3.14 and √2 = 1.4).


    What is the area of the shaded region?

    A.

    14.75 square cm

    B.

    14.25 square cm

    C.

    7.225 square cm

    D.

    7.625 square cm

    Correct option is B


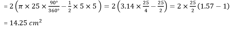
    the area of the shaded region = 2(area of sector OEQF – area of triangle OEF)

    Free Tests

    Free
    Must Attempt

    Set Theory

    languageIcon English
    • pdpQsnIcon10 Questions
    • pdpsheetsIcon10 Marks
    • timerIcon10 Mins
    languageIcon English
    Free
    Must Attempt

    AAI Junior Executive (ATC) Mock 1

    languageIcon English
    • pdpQsnIcon120 Questions
    • pdpsheetsIcon120 Marks
    • timerIcon120 Mins
    languageIcon English
    Free
    Must Attempt

    Indian Air Force AFCAT II 2025 Mock 01

    languageIcon English
    • pdpQsnIcon100 Questions
    • pdpsheetsIcon300 Marks
    • timerIcon120 Mins
    languageIcon English

    Similar Questions

    test-prime-package

    Access ‘UPSC CDS’ Mock Tests with

    • 60000+ Mocks and Previous Year Papers
    • Unlimited Re-Attempts
    • Personalised Report Card
    • 500% Refund on Final Selection
    • Largest Community
    students-icon
    354k+ students have already unlocked exclusive benefits with Test Prime!
    Our Plans
    Monthsup-arrow