hamburger menu
All Coursesall course arrow
adda247
reward-icon
adda247
    arrow
    arrow
    arrow
    Consider the following statements regarding Poisson Distribution: (A) It is a continuous probability distribution. (B) It is applicable when 'n' th
    Question



    Consider the following statements regarding Poisson Distribution:
    (A) It is a continuous probability distribution. (B) It is applicable when 'n' the number of trials is indefinitely large and 'p' the probability of success is indefinitely small. (C) Its mean is equal to its variance.
    Which of the above statements are correct?

    A.

    (A) and (B) only

    B.

    (B) and (C) only

    C.

    (A) and (C) only

    D.

    (A), (B) and (C) only

    Correct option is B


    Explanation
    · Statement (A) is incorrect because the Poisson distribution is a discrete probability distribution. It models the number of events occurring in a fixed interval of time or space, under the condition that these events happen independently of each other.
    · Statement (B) is correct. The Poisson distribution can be derived as an approximation to the binomial distribution when the number of trials n is large, and the probability of success p is small, such that the product np (the expected number of successes) is a finite value.
    · Statement (C) is also correct. In a Poisson distribution, the mean λ (lambda) is equal to its variance λ, which is a key characteristic of this distribution.
    Information Booster
    · Poisson Distribution: Typically used to model count data, such as the number of phone calls received by a call center in an hour.
    · Key Properties: The Poisson distribution is characterized by its mean and variance being equal (λ).
    · Applications: Commonly applied in fields such as telecommunication, traffic flow, and natural phenomena where events occur randomly.
    · Relation to Binomial: When n is large and p is small, the binomial distribution B(n,p) approaches the Poisson distribution with λ=np.
    Additional Information
    · Example of Poisson Events: Occurrences of earthquakes in a region, arrivals of customers at a store, or failures of a machine part over a specified period.
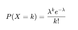
    · Mathematical Expression: The probability mass function of a Poisson random variable XXX is given by:

    where k is the number of occurrences, λ is the average rate of occurrence, and e is the base of the natural logarithm.

    Free Tests

    Free
    Must Attempt

    Basics of Education: Pedagogy, Andragogy, and Hutagogy

    languageIcon English
    • pdpQsnIcon10 Questions
    • pdpsheetsIcon20 Marks
    • timerIcon12 Mins
    languageIcon English
    Free
    Must Attempt

    UGC NET Paper 1 Mock Test 1

    languageIcon English
    • pdpQsnIcon50 Questions
    • pdpsheetsIcon100 Marks
    • timerIcon60 Mins
    languageIcon English
    Free
    Must Attempt

    Basics of Education: Pedagogy, Andragogy, and Hutagogy

    languageIcon English
    • pdpQsnIcon10 Questions
    • pdpsheetsIcon20 Marks
    • timerIcon12 Mins
    languageIcon English

    Similar Questions

    test-prime-package

    Access ‘UGC NET EVS’ Mock Tests with

    • 60000+ Mocks and Previous Year Papers
    • Unlimited Re-Attempts
    • Personalised Report Card
    • 500% Refund on Final Selection
    • Largest Community
    students-icon
    368k+ students have already unlocked exclusive benefits with Test Prime!
    Our Plans
    Monthsup-arrow