arrow
arrow
arrow
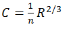
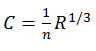
Chezy’s coefficient (C) is related to Manning’s roughness coefficient (n) as ____________
Question

Chezy’s coefficient (C) is related to Manning’s roughness coefficient (n) as ____________

A.


B.


C.


D.


Correct option is A



Similar Questions

test-prime-package

Access ‘SSC JE Civil’ Mock Tests with

  • 60000+ Mocks and Previous Year Papers
  • Unlimited Re-Attempts
  • Personalised Report Card
  • 500% Refund on Final Selection
  • Largest Community
students-icon
383k+ students have already unlocked exclusive benefits with Test Prime!
test-prime-package

Access ‘SSC JE Civil’ Mock Tests with

  • 60000+ Mocks and Previous Year Papers
  • Unlimited Re-Attempts
  • Personalised Report Card
  • 500% Refund on Final Selection
  • Largest Community
students-icon
383k+ students have already unlocked exclusive benefits with Test Prime!
Our Plans
Monthsup-arrow