hamburger menu
All Coursesall course arrow
adda247
reward-icon
adda247
    arrow
    arrow
    arrow
    A rectangular suppressed weir is a device used to measure stream flow in an open channel. For a rectangular suppressed weir flowing free, the discharg
    Question

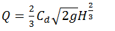
    A rectangular suppressed weir is a device used to measure stream flow in an open channel. For a rectangular suppressed weir flowing free, the discharge Q is related to the head H over the weir as __________.

    A.


    B.


    C.


    D.


    Correct option is C



    Similar Questions

    test-prime-package

    Access ‘SSC JE Civil’ Mock Tests with

    • 60000+ Mocks and Previous Year Papers
    • Unlimited Re-Attempts
    • Personalised Report Card
    • 500% Refund on Final Selection
    • Largest Community
    students-icon
    354k+ students have already unlocked exclusive benefits with Test Prime!
    test-prime-package

    Access ‘SSC JE Civil’ Mock Tests with

    • 60000+ Mocks and Previous Year Papers
    • Unlimited Re-Attempts
    • Personalised Report Card
    • 500% Refund on Final Selection
    • Largest Community
    students-icon
    354k+ students have already unlocked exclusive benefits with Test Prime!
    Our Plans
    Monthsup-arrow