Correct option is C


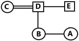
A and B are sisters. C and D are a married couple. D is the father of B and brother of E. E is the paternal uncle of A. How is E related to C?


K is the sister of L. L is the son of M. M is the wife of N. N is the brother of O. How is K related to O?
If 'T' is the father of 'P'. 'Q' is the daughter of 'P'. 'S' is the daughter of 'R' who is the mother of 'Q'. Then how is 'T' related to 'S'?
Pointing towards a photograph, Raghu said, 'She is the only daughter of my mother's father’s only daughter'. How is the lady related to Raghu's father?
‘B’ is the brother of ‘C’, ‘A’ is the sister of ‘B’. ‘E’ is the brother of ‘D’, ‘D’ is the daughter of ‘A’. How is ‘B’ related to ‘E’?
Alka introduced a man: “He is the only son of the father of my sister’s brother.” How is this person related to Alka?
Pointing to Rahul, Smriti said: “He is the son of the only child of my mother.” What is Smriti’s relation to Rahul?
Kiran is the father of Ravi. Ravi is the brother of Kavya. Then how is Kavya related to Kiran?
Sudha is the wife of Anand. Kavita is the mother of Gaurav. Anu is the daughter of Ravi, who is the brother of Aryan. Anu's mother Kavita is the daughter-in-law of Anand. How is Sudha related to Aryan?
Introducing a man, a woman said “His mother is the only daughter of my father”. How is the man related to the woman?
Suggested Test Series
Suggested Test Series