hamburger menu
All Coursesall course arrow
adda247
reward-icon
adda247
    arrow
    arrow
    arrow
    Which one of the following functions is uniformly continuous on the interval (0,1)?
    Question

    Which one of the following functions is uniformly continuous on the interval (0,1)?

    A.


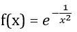
    B.


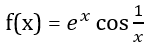
    C.


    D.


    Correct option is B

    Analysis of Options:

    Option (a): f(x) = sin(1/x)

    • As x→0+x \to 0^+x00+, 1/x→∞1/x \to \infty1/x, causing the oscillations of sin⁡(1/x)\sin(1/x)sin(1/x) to become arbitrarily fast.
    • Uniform continuity fails because the function does not maintain a uniform "rate of change" as xxx approaches 000.
    • Not uniformly continuous.

    (b)limx0+e1x2=0&limx1e1x2=e1=1eSo e1x2 is Uniformly Continuous in (0,1) (c)limx0+excos1x does not exist, so excos1x is not Uniformly Continuous in (0,1) (d)limx0+cosxcosπx does not exist, so cosxcosπx is not Uniformly Continuous in (0,1)(b) \quad \lim_{x \to 0^+} e^{-\frac{1}{x^2}} = 0 \quad \& \quad \lim_{x \to 1^-} e^{-\frac{1}{x^2}} = e^{-1} = \frac{1}{e} \\\text{So }\\ e^{-\frac{1}{x^2}} \text{ is Uniformly Continuous in } (0,1)\\\ \\(c) \quad \because \lim_{x \to 0^+} e^x \cos\frac{1}{x} \text{ does not exist, so } e^x \cos\frac{1}{x} \text{ is not Uniformly Continuous in } (0,1)\\\ \\(d) \quad \because \lim_{x \to 0^+} \cos x \cos\frac{\pi}{x} \text{ does not exist, so } \cos x \cos\frac{\pi}{x} \text{ is not Uniformly Continuous in } (0,1)​​

    Similar Questions

    test-prime-package

    Access ‘CSIR NET- GENERAL APTITUDE’ Mock Tests with

    • 60000+ Mocks and Previous Year Papers
    • Unlimited Re-Attempts
    • Personalised Report Card
    • 500% Refund on Final Selection
    • Largest Community
    students-icon
    399k+ students have already unlocked exclusive benefits with Test Prime!
    test-prime-package

    Access ‘CSIR NET- GENERAL APTITUDE’ Mock Tests with

    • 60000+ Mocks and Previous Year Papers
    • Unlimited Re-Attempts
    • Personalised Report Card
    • 500% Refund on Final Selection
    • Largest Community
    students-icon
    399k+ students have already unlocked exclusive benefits with Test Prime!
    Our Plans
    Monthsup-arrow