hamburger menu
All Coursesall course arrow
adda247
reward-icon
adda247
    arrow
    arrow
    arrow
    When three times the square of a whole number is decreased by four times the number, the result is 50 more than the number. What is the number?
    Question

    When three times the square of a whole number is decreased by four times the number, the result is 50 more than the number. What is the number?

    A.

    8

    B.

    7

    C.

    6

    D.

    5

    Correct option is A

     
    Given:
    Three times the square of a whole number is decreased by four times the number, resulting in 50 more than the number.
    Formula Used:
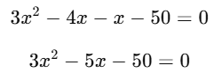
    Let the number be x. The equation based on the problem statement: Solution:
    1. Rearrange the equation:
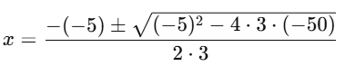
    2. Solve the quadratic equation 3x2 - 5x - 50 = 0 using the quadratic formula:
    3. Solve to find x Answer: (a) 8

    Free Tests

    Free
    Must Attempt

    Government Policies and Scheme

    languageIcon English
    • pdpQsnIcon10 Questions
    • pdpsheetsIcon20 Marks
    • timerIcon5 Mins
    languageIcon English
    Free
    Must Attempt

    Government Schemes

    languageIcon English
    • pdpQsnIcon10 Questions
    • pdpsheetsIcon20 Marks
    • timerIcon5 Mins
    languageIcon English
    Free
    Must Attempt

    SSC GD PYP (Held on 4 Feb 2025 S1)

    languageIcon English
    • pdpQsnIcon80 Questions
    • pdpsheetsIcon160 Marks
    • timerIcon60 Mins
    languageIcon English
    test-prime-package

    Access ‘Allahabad High Court Group D’ Mock Tests with

    • 60000+ Mocks and Previous Year Papers
    • Unlimited Re-Attempts
    • Personalised Report Card
    • 500% Refund on Final Selection
    • Largest Community
    students-icon
    368k+ students have already unlocked exclusive benefits with Test Prime!
    Our Plans
    Monthsup-arrow