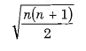
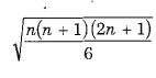
What is the standard deviation of the first n natural number?
Match the following:

A can do a work in 10 days and B can do the same work in 15 days. they earn Rs.1,500 together. How will they share this amount?
Fill up the blanks:
National population policy adopted in 2000 with a view to encourage _________and aim at stabilizing the population by__________
Match List I with List II of the following with suitable options
List I List II
(a) Brahmanas 1.Forest texts
(b) Sama veda 2.Guide Book for Priests
(c) Aranyakas 3.Ritual Texts
(d) Yajur Veda 4.Book of Chants
Match List I with List II of the following with suitable options:
List I List II
(a) Kural 1.Rishabham
(b) Thutham 2.Shadjam
(c) Kaikilai 3.Madyamam
(d) Vuzhai 4.Gandharam
Arrange the following in the order of increasing solubility in water.
(i) NaHCO3 (ii)KHCO3 (iii)Mg(HCO3)2 (iv)Ca(HCO3)2
Which of the schedules deals with division of powers between states and union?
In which one of the case, "Passport" is considered as part of personal liberty?
What is the peculiar nature of the Indian Federation?
Consider the following statements::
The Comptroller and Auditor General of India is responsible for the audit of the accounts of
1.The Union Govt
2.State Govts
3. The governments of union territories
4. The Urban and rural local bodies.
which of these statements are correct?
Suggested Test Series
Suggested Test Series