Correct option is A
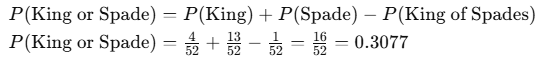
A deck of cards has 52 cards in total. There are 4 Kings and 13 Spades. However, the King of Spades is counted twice in the initial sum, so we subtract 1 to avoid double-counting.

Information Booster:
· King or Spade: The rule of addition is used here: P(A∪B)=P(A)+P(B)−P(A∩B)where A is the King and B is the Spade.
· Deck of cards: Standard deck of cards includes 52 cards, consisting of 13 ranks (Ace, 2-10, Jack, Queen, King) across 4 suits (Spades, Hearts, Diamonds, Clubs).
Additional Information:
· Spades: One of the four suits in a deck, with 13 cards each.
· King: There are 4 Kings, one in each suit. The King of Spades is both a King and a Spade.