Correct option is C
Correct Answer: (c) 12 times that of B
Explanation:
The resistance R of a wire is given by:
where:
- R = Resistance
- ρ = Resistivity (same for both wires, as the wires are made of the same material)
- L = Length of the wire
- A = Cross-sectional area of the wire
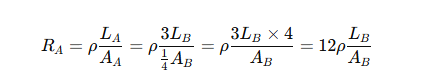
For wire A:
- LA=3LB (Length of A is 3 times that of B)
- (Cross section of A is 1/4th of that of B)
Resistance of A:

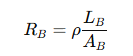
Resistance of B:

Ratio of resistances:

Thus, RA=12RB.
Information Booster:
· Resistance is directly proportional to the length of the wire.
· Resistance is inversely proportional to the cross-sectional area.
· Materials with lower resistivity allow better electrical conductivity.
· The formula is fundamental to analyzing resistance changes due to dimensions.
· Altering both the length and cross-sectional area significantly impacts the resistance.