Correct option is A
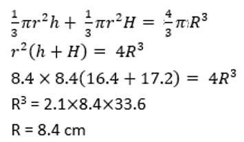
Height of first cone = 16.4 cm
Height of second cone = 17.2 cm
Radius of both sphere = 8.4 cm
Formula:
Volume of cone =

Volume sphere

Concept:
Total volume of cones = Volume of the sphere
Solution:

Then the diameter of sphere D = 2R = 2×8.4 = 16.8 cm.