Correct option is E
Required probability =

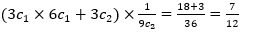
There are 3 green balls and 6 blue balls in a box. If two balls are drawn from the box randomly, find the probability that at least one ball is green.
Required probability =

Find the value of x in the proportion 69 : 23 :: 63 : x.
Two pipes, P and Q, together can fill a tank in 5 hours. If pipe P alone can fill the tank in 10 hours, then how much time (in hours) will pipe Q alone take to fill the tank?
The surface area of a cube is 480 Find its volume.
A bus is moving at a speed of 82 km/hr. If its speed is reduced by 28%, then what will be the new speed of the bus (in km/hr)?
Find the Highest Common Factor (HCF) of 372, 732 and 2196.
A person spends 50% of his monthly salary on house rent. If he spends ₹912 on transport and ₹3,799 on groceries every month and saves the remaining ₹131, then find his monthly salary (in ₹).
Simple interest of ₹375 is obtained on a sum of money for a period of 3 years at a rate of 2% per annum. Find the sum (in ₹).
The average weight of Shivam, Rupesh and Mandar is 45 kg. If the average weight of Shivam and Rupesh is 38 kg and the average weight of Rupesh and Mandar is 50 kg, then find Rupesh's weight (in kg).
A car covers a certain distance in 8 hours at a uniform speed. If the speed of the car is increased by 5 km/hr, then the same distance could have been covered in 7 hours 30 minutes. What is the distance covered?
25 persons, each working 10 hours a day, can complete 2 units of work in 4 days. How many days will it take for 10 persons working 9 hours a day to complete 18 units of work?
Suggested Test Series
Suggested Test Series