arrow
arrow
arrow
The Ybus representation of the model of transformer shown is:
Question

The Ybus representation of the model of transformer shown is:

A.



B.



C.



D.



Correct option is C


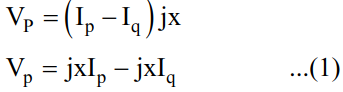
Given circuit,

short circuiting port p – q'-

Applying KVL in the circuit

On short circuiting Port p – p'-


test-prime-package

Access ‘PGCIL’ Mock Tests with

  • 60000+ Mocks and Previous Year Papers
  • Unlimited Re-Attempts
  • Personalised Report Card
  • 500% Refund on Final Selection
  • Largest Community
students-icon
382k+ students have already unlocked exclusive benefits with Test Prime!
test-prime-package

Access ‘PGCIL’ Mock Tests with

  • 60000+ Mocks and Previous Year Papers
  • Unlimited Re-Attempts
  • Personalised Report Card
  • 500% Refund on Final Selection
  • Largest Community
students-icon
382k+ students have already unlocked exclusive benefits with Test Prime!
Our Plans
Monthsup-arrow