hamburger menu
All Coursesall course arrow
adda247
reward-icon
adda247
    arrow
    arrow
    arrow
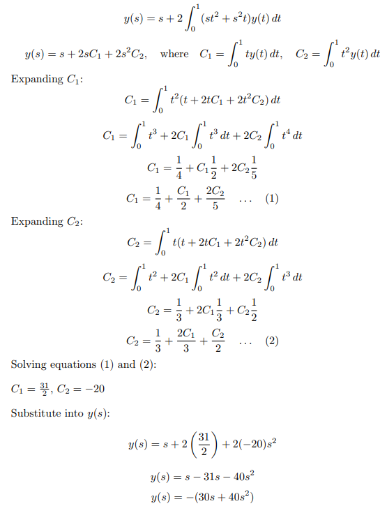
    ​The solution of the Fredholm integral equationy(s)=s+2∫01(st2+s2t)y(t) dtis\text{The solution of the Fredholm integral
    Question

    The solution of the Fredholm integral equationy(s)=s+201(st2+s2t)y(t) dtis\text{The solution of the Fredholm integral equation} \\y(s) = s + 2 \int_0^1 \left( st^2 + s^2t \right) y(t) \, dt \\\text{is}​​

    A.

    (50s+40s2)-(50s+40s^2)​​

    B.

    (30s+15s2)(30s+15s^2)​​

    C.

    (30s+40s2)-(30s+40s^2)​​

    D.

    (60s+50s2)(60s+50s^2)​​

    Correct option is C

    test-prime-package

    Access ‘CSIR NET- GENERAL APTITUDE’ Mock Tests with

    • 60000+ Mocks and Previous Year Papers
    • Unlimited Re-Attempts
    • Personalised Report Card
    • 500% Refund on Final Selection
    • Largest Community
    students-icon
    368k+ students have already unlocked exclusive benefits with Test Prime!
    test-prime-package

    Access ‘CSIR NET- GENERAL APTITUDE’ Mock Tests with

    • 60000+ Mocks and Previous Year Papers
    • Unlimited Re-Attempts
    • Personalised Report Card
    • 500% Refund on Final Selection
    • Largest Community
    students-icon
    368k+ students have already unlocked exclusive benefits with Test Prime!
    Our Plans
    Monthsup-arrow