Correct option is C
Explanation:
The Shannon-Weaver Diversity Index (also known as the Shannon Index or Shannon Entropy) is a measure used in ecology to quantify the biodiversity of a community. It accounts for:
· (A) Species richness – the total number of species present.
· (D) Equitability (evenness) – how evenly individuals are distributed among the species.
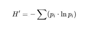
The formula is:

Where:
· pi = proportion of individuals belonging to species i
This index increases with both richness and evenness.
Information Booster:
· The Shannon index does not focus on specific groups like endemic or invasive species — it includes all species present in the community.
· It is widely used in ecological studies to compare biodiversity across different habitats.
Additional Information:
· (B) and (C) are incorrect: The index is not restricted to certain species types.
· (E) is incorrect: It does not measure genetic diversity, which is a separate concept from species diversity.