Correct option is D
Explanation:
The "n-th order central moment" of a distribution measures the dispersion of the values about the mean raised to the power of n.
· The first central moment (order 1) is always zero because it’s the mean deviation about the mean.
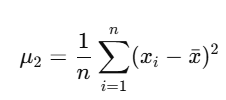
· The second central moment is defined as:

· This is variance, a key measure of spread in a dataset.Information Booster:
The second-order central moment is commonly referred to as variance, and it quantifies how much the data points deviate from the mean.
· Standard deviation is simply the square root of variance.
· Variance is a fundamental concept in statistics used in descriptive analysis, hypothesis testing, and regression models.