hamburger menu
All Coursesall course arrow
adda247
reward-icon
adda247
    arrow
    arrow
    arrow
    The scour depth as per Lacey’s theory is given as follows (where q is the discharge intensity and f is the silt factor):
    Question

    The scour depth as per Lacey’s theory is given as follows (where q is the discharge intensity and f is the silt factor):

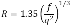
    A.

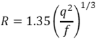
    B.

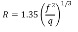
    C.

    D.

    Correct option is A

    test-prime-package

    Access ‘RPSC AE Civil Engineering’ Mock Tests with

    • 60000+ Mocks and Previous Year Papers
    • Unlimited Re-Attempts
    • Personalised Report Card
    • 500% Refund on Final Selection
    • Largest Community
    students-icon
    383k+ students have already unlocked exclusive benefits with Test Prime!
    test-prime-package

    Access ‘RPSC AE Civil Engineering’ Mock Tests with

    • 60000+ Mocks and Previous Year Papers
    • Unlimited Re-Attempts
    • Personalised Report Card
    • 500% Refund on Final Selection
    • Largest Community
    students-icon
    383k+ students have already unlocked exclusive benefits with Test Prime!
    Our Plans
    Monthsup-arrow