hamburger menu
All Coursesall course arrow
adda247
reward-icon
adda247
    arrow
    arrow
    arrow
    The resistance of a lamp rated at 240 V and 60 watts equal to
    Question

    The resistance of a lamp rated at 240 V and 60 watts equal to

    A.

    120 ohms

    B.

    240 ohms

    C.

    4800 hms

    D.

    960 ohms

    Correct option is D


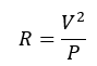
    The resistance of the lamp can be calculated using the formula:

    where:
    · R= Resistance of the lamp (ohms),
    · V= Voltage rating of the lamp (volts),
    · P= Power rating of the lamp (watts).
    Step 1: Substitute the given values:

    test-prime-package

    Access ‘ISRO Electrical Engineering’ Mock Tests with

    • 60000+ Mocks and Previous Year Papers
    • Unlimited Re-Attempts
    • Personalised Report Card
    • 500% Refund on Final Selection
    • Largest Community
    students-icon
    383k+ students have already unlocked exclusive benefits with Test Prime!
    test-prime-package

    Access ‘ISRO Electrical Engineering’ Mock Tests with

    • 60000+ Mocks and Previous Year Papers
    • Unlimited Re-Attempts
    • Personalised Report Card
    • 500% Refund on Final Selection
    • Largest Community
    students-icon
    383k+ students have already unlocked exclusive benefits with Test Prime!
    Our Plans
    Monthsup-arrow