Correct option is B
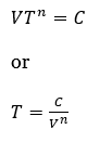
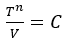
Taylor's Tool Life Equation:
where:
· V = Cutting speed
· T = Tool life (minutes)
· N = Tool life exponent (depends on tool-work material combination)
· C = Cutting speed constant (depends on tool and material)
This equation, known as Taylor's Tool Life Equation, describes how tool life decreases exponentially with an increase in cutting speed.
