Correct option is D
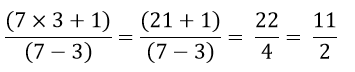
The logic is-



Which is correct.
Thus, the correct answer is option (d).
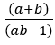
The logic is-



Which is correct.
Thus, the correct answer is option (d).
How many rectangles are there in the given figure?

Choose the odd pair of words:
The first two numbers are related in a certain way. Choose the correct option to replace the question mark (?) having the same relationship with the third term. 7 : 81 :: 13 : ?
The first two terms are related in a certain way. Choose the correct option to replace the question mark (?) having the same relationship with the third term:
G * N : 7 * 14 :: I * T : ?
Select the combination of numbers so that the letters arranged accordingly will form a meaningful word:
M A P N O L T C I
1 2 3 4 5 6 7 8 9
Two words given below are related in a certain way. Find out the group of words which is related in the same way as the given words.
LOVE : ELVO
Choose one number which is similar to the numbers in the given set.
Given set: 435, 147, 642, 192
Suggested Test Series
Suggested Test Series