hamburger menu
All Coursesall course arrow
adda247
reward-icon
adda247
    arrow
    arrow
    arrow
    The rate of a reaction was found to be equal to its rate constant at any concentration of the reactant. The order of the reaction is
    Question



    The rate of a reaction was found to be equal to its rate constant at any concentration of the reactant. The order of the reaction is

    A.

    First order

    B.

    Zero order

    C.

    Second order

    D.

    More than one of the above

    E.

    None of the above

    Correct option is B


    A zero-order reaction is characterized by a rate that is constant and independent of the concentration of the reactant. The rate law for a zero-order reaction is:
    Rate=k
    Here, k is the rate constant, and the rate does not depend on the reactant concentration. Thus, the rate remains constant throughout the reaction, irrespective of how much reactant is present. This is why the rate equals the rate constant in zero-order reactions.
    Information Booster:
    1. Units of k: The units of the rate constant k for zero-order reactions are molL-1s-1.
    2. Examples of zero-order reactions: Catalytic decomposition of ammonia and photochemical decomposition of HI in the presence of light.
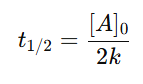
    3. Half-life: The half-life of zero-order reactions depends on the initial concentration:

    Additional Knowledge:
    First Order: First-order reactions depend on the concentration of the reactant, with the rate law given by Rate=k[A]. The rate is not constant and changes with the concentration of the reactant.
    Second Order: The rate of a second-order reaction depends on either the square of a single reactant’s concentration (Rate=k[A]2) or the product of two reactants’ concentrations (Rate=k[A][B]). The rate constant k for second-order reactions has units of Lmol-1s-1.

    Free Tests

    Free
    Must Attempt

    UPTET Paper 2 Social Science : PYP Held on 23rd Jan 2022 (Shift 2)

    languageIcon English
    • pdpQsnIcon150 Questions
    • pdpsheetsIcon150 Marks
    • timerIcon150 Mins
    languageIcon English
    Free
    Must Attempt

    UPTET : Paper 1 Full Mock - 01

    languageIcon English
    • pdpQsnIcon150 Questions
    • pdpsheetsIcon150 Marks
    • timerIcon150 Mins
    languageIcon English
    Free
    Must Attempt

    UPTET : Paper 2 Maths & Science Full Mock - 01

    languageIcon English
    • pdpQsnIcon150 Questions
    • pdpsheetsIcon150 Marks
    • timerIcon150 Mins
    languageIcon English
    test-prime-package

    Access ‘BPSC TRE (11-12)’ Mock Tests with

    • 60000+ Mocks and Previous Year Papers
    • Unlimited Re-Attempts
    • Personalised Report Card
    • 500% Refund on Final Selection
    • Largest Community
    students-icon
    383k+ students have already unlocked exclusive benefits with Test Prime!
    Our Plans
    Monthsup-arrow