arrow
arrow
arrow
The moment of inertia of a rectangle of width b and depth d, about an axis XX passing through its centre of gravity and parallel to the ends, is given
Question

The moment of inertia of a rectangle of width b and depth d, about an axis XX passing through its centre of gravity and parallel to the ends, is given as:

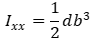
A.

B.

C.

D.

Correct option is A

test-prime-package

Access ‘RPSC AE Civil Engineering’ Mock Tests with

  • 60000+ Mocks and Previous Year Papers
  • Unlimited Re-Attempts
  • Personalised Report Card
  • 500% Refund on Final Selection
  • Largest Community
students-icon
383k+ students have already unlocked exclusive benefits with Test Prime!
test-prime-package

Access ‘RPSC AE Civil Engineering’ Mock Tests with

  • 60000+ Mocks and Previous Year Papers
  • Unlimited Re-Attempts
  • Personalised Report Card
  • 500% Refund on Final Selection
  • Largest Community
students-icon
383k+ students have already unlocked exclusive benefits with Test Prime!
Our Plans
Monthsup-arrow