hamburger menu
All Coursesall course arrow
adda247
reward-icon
adda247
    arrow
    arrow
    arrow
    The Moment of Inertia of a circular area of diameter 'd' about its diameter axis is-
    Question

    The Moment of Inertia of a circular area of diameter 'd' about its diameter axis is-

    A.

    πd^2/64

    B.

    πd^3/36

    C.

    πd^4/64

    D.

    πd^2/36

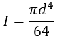
    Correct option is C


    The moment of inertia (I) of a circular area of diameter 'd' about its diameter axis is given by the formula:

    This formula is used to calculate the moment of inertia for a circular cross-section, which is a measure of the distribution of area relative to an axis, and is critical in determining the resistance of the section to bending.

    test-prime-package

    Access ‘RRB JE Mechanical Engineering’ Mock Tests with

    • 60000+ Mocks and Previous Year Papers
    • Unlimited Re-Attempts
    • Personalised Report Card
    • 500% Refund on Final Selection
    • Largest Community
    students-icon
    368k+ students have already unlocked exclusive benefits with Test Prime!
    test-prime-package

    Access ‘RRB JE Mechanical Engineering’ Mock Tests with

    • 60000+ Mocks and Previous Year Papers
    • Unlimited Re-Attempts
    • Personalised Report Card
    • 500% Refund on Final Selection
    • Largest Community
    students-icon
    368k+ students have already unlocked exclusive benefits with Test Prime!
    Our Plans
    Monthsup-arrow