Correct option is B
Given:
Fourth proportion to 12, 24, and 27 is the same as the third proportion to A and 36.
Formula Used:
Fourth Proportion Formula: If a, b, and c are given, the fourth proportion x is found using the formula:
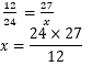
Solving for x:
Third Proportion Formula: If a and b are given, the third proportion x is found using the formula:
Solving for x:
Solution:
For fourth proportion:

For third proportion

Now,
