Correct option is C
Solution:
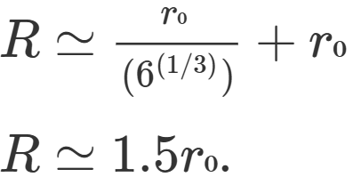
The masses of π- and p are approximately mₚ/6 and mₚ, respectively. If we estimate the system as a hard sphere, its diameter might be roughly approximated by the sum of the radii of π- and p,
which can be approximated as inversely proportional to the cubic root of their masses.
Let's say that :

where m₀ and r₀ are the mass and radius of a proton. Then the 'hard sphere' radius would be:


Taking r₀≃1fm, R≃1.5fm, and the diameter d is therefore ≃ 3 fm. Then the total cross-section would be:
σ≃πd²≃π(3fm)²≃28fm² = 0.28 barns
The nearest matching option is 0.1 barns.




