arrow
arrow
arrow
The effective length 'L' of a column hinged at both ends as compared to its actual length 'l' is-
Question

The effective length 'L' of a column hinged at both ends as compared to its actual length 'l' is-

A.

L = l/2

B.

L = l

C.

L = 2l

D.

L = 2l²

Correct option is B


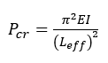
Effective Length of a Column: The effective length is a conceptual length used to account for the boundary conditions at the ends of the column. It is used in calculating the buckling load of a column using Euler's formula. The formula for the critical buckling load is:

Where:
· Pcr = Critical buckling load
· E = Young's modulus
· I = Moment of inertia of the column cross-section
· Leff = Effective length of the column
Boundary Conditions and Effective Length: The effective length factor depends on the type of supports at the ends of the column:
· Both ends hinged (pinned): Leff = L (actual length).
· Both ends fixed: Leff = L/2 (the column behaves as if its length is halved).
· One end fixed, one end free: Leff = 2L (the column behaves as if its length is doubled).
· One end fixed, one end hinged: Leff = L√2.

test-prime-package

Access ‘RRB JE Mechanical Engineering’ Mock Tests with

  • 60000+ Mocks and Previous Year Papers
  • Unlimited Re-Attempts
  • Personalised Report Card
  • 500% Refund on Final Selection
  • Largest Community
students-icon
368k+ students have already unlocked exclusive benefits with Test Prime!
test-prime-package

Access ‘RRB JE Mechanical Engineering’ Mock Tests with

  • 60000+ Mocks and Previous Year Papers
  • Unlimited Re-Attempts
  • Personalised Report Card
  • 500% Refund on Final Selection
  • Largest Community
students-icon
368k+ students have already unlocked exclusive benefits with Test Prime!
Our Plans
Monthsup-arrow