hamburger menu
All Coursesall course arrow
adda247
reward-icon
adda247
    arrow
    arrow
    arrow
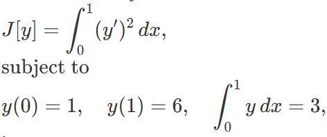
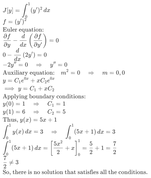
    ​ The cardinality of the set of extremals of 
    Question

    ​ The cardinality of the set of extremals of 

    A.

    0

    B.

    1

    C.

    2

    D.

    Countably infinite

    Correct option is A

    ​​

    test-prime-package

    Access ‘CSIR NET- GENERAL APTITUDE’ Mock Tests with

    • 60000+ Mocks and Previous Year Papers
    • Unlimited Re-Attempts
    • Personalised Report Card
    • 500% Refund on Final Selection
    • Largest Community
    students-icon
    354k+ students have already unlocked exclusive benefits with Test Prime!
    test-prime-package

    Access ‘CSIR NET- GENERAL APTITUDE’ Mock Tests with

    • 60000+ Mocks and Previous Year Papers
    • Unlimited Re-Attempts
    • Personalised Report Card
    • 500% Refund on Final Selection
    • Largest Community
    students-icon
    354k+ students have already unlocked exclusive benefits with Test Prime!
    Our Plans
    Monthsup-arrow