Correct option is B
Solution:

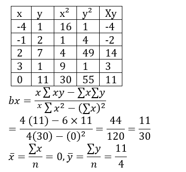
2a + 15b = 11.

Solution:

2a + 15b = 11.
Two pipes, P and Q, together can fill a tank in 5 hours. If pipe P alone can fill the tank in 10 hours, then how much time (in hours) will pipe Q alone take to fill the tank?
The surface area of a cube is 480 Find its volume.
A person spends 50% of his monthly salary on house rent. If he spends ₹912 on transport and ₹3,799 on groceries every month and saves the remaining ₹131, then find his monthly salary (in ₹).
Navjot invested a sum of ₹48,800 at 10% per annum for 1 year on compound interest (interest is compounded half-yearly). Find the amount received by him.
Simple interest of ₹375 is obtained on a sum of money for a period of 3 years at a rate of 2% per annum. Find the sum (in ₹).
Two pipes, P and Q, together can fill a tank in 5 hours. If pipe P alone can fill the tank in 10 hours, then how much time (in hours) will pipe Q alone take to fill the tank?
The surface area of a cube is 480 Find its volume.
A person spends 50% of his monthly salary on house rent. If he spends ₹912 on transport and ₹3,799 on groceries every month and saves the remaining ₹131, then find his monthly salary (in ₹).
Navjot invested a sum of ₹48,800 at 10% per annum for 1 year on compound interest (interest is compounded half-yearly). Find the amount received by him.
Simple interest of ₹375 is obtained on a sum of money for a period of 3 years at a rate of 2% per annum. Find the sum (in ₹).
Suggested Test Series
Suggested Test Series