All Courses
Teaching Maha Pack
KVS TGT
Bihar Shikshak Bharti TRE 6 to 8
Bihar Shikshak Bharti TRE 9 to 10
Bihar Shikshak Bharti TRE 11 to 12
KVS PGT
CTET
UPTET
UP LT GRADE
UP LT GRADE Pre and Mains
EMRS TGT
EMRS PGT
DSSSB TGT
UP TGT
UP PGT
EMRS
Super TET
KVS
NVS Non Teaching
DSSSB
DSSSB PRT
UP GIC Lecturer
NVS
KVS PRT
KVS Non Teaching
NVS PRT
Bihar STET 9 to 10
Bihar STET 11 to 12
Bihar Librarian Science
Jharkhand Madhyamik Teacher
DSSSB PGT
Bihar B Ed
HSSC TGT
Jharkhand PGT
MPESB PGT
Bihar TET
Librarian
EMRS Non Teaching
Chhattisgarh Teaching
UP BEd
TET ADDA
Army Public School
Bihar Special School Teacher
BSSTET
CG VYAPAM
Bihar STET
HTET
State TETs
UP Lecturer
B.Ed
HPTET
CTET Paper-II (Social Science)
BPSC TRE (6-8)
BPSC TRE (9-10)
BPSC TRE (11-12)
Bihar STET Paper I
Bihar STET Paper II
HPSC PGT
MP TET
RPSC Grade 1
Bihar Deled
REET
RRB Railway Teacher
BPSC
DSSSB Non Teaching
RPSC Grade 2 Teacher
PGT Foundation
TGT Foundation
WB SLST 11 to 12
Bihar Shikshak Bharti TRE 1 to 5
AWES PRT
RPSC
NVS PGT
NVS TGT
Teaching Books
Free Webinar
WB TET
Home
Fitter
Fitter
Sec30° + cos30° = ?
Question
Sec30° + cos30° = ?
A.
√3/6
(c) 7√3/6
B.
7/6
(d) 7/√3
Qtype MCQ $tags$ $subject$ Fitter $chapter$ Fitter $topic$ $ subtopic $$difficulty$ 4 $language$ ENGLISH $PYQ$21/01/2019#1 $exam category$ AEJE_MECHANICAL_ENGINEERING $exam$ RRB ALP Fitter
$ans$
C.
7√3/6
(b) 7/6
D.
7/√3
Solution
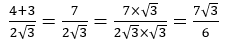
Correct option is C
We know cos30° = √3/2
Sec30° =2/√3
∴ Sec30° + cos30° =2/√3 + √3/2
Similar Questions
1)
A drift is used for _________.
2)
Which of the following instrument is used for measuring higher temperatures in a fumace?
3)
Which lathe machine attachment is used for relief to multipoint cutting tools _________.
4)
What is the function of a “pilot” when provided in reamer?
5)
In the process of dressing of grinding wheels to restore sharpness is done by _________.
6)
The distance between the crest & the root of a thread measured normal to the axis is______.
7)
A wedge like tool is used for removing the taper shank tools from the nose ofthe machine spindle is called _______.
8)
In a brazing operation, which of the following is the commonly used flux?
9)
Which pulley increase wrapping angle of pulley?
10)
What is the value for roughness grade no ‘N4’ in micrometers
View More
Access ‘RRB ALP Fitter’ Mock Tests with
60000+ Mocks and Previous Year Papers
Unlimited Re-Attempts
Personalised Report Card
500% Refund on Final Selection
Largest Community
BUY NOW
354k+ students have already unlocked exclusive benefits with Test Prime!
Access ‘RRB ALP Fitter’ Mock Tests with
60000+ Mocks and Previous Year Papers
Unlimited Re-Attempts
Personalised Report Card
500% Refund on Final Selection
Largest Community
BUY NOW
354k+ students have already unlocked exclusive benefits with Test Prime!
Our Plans
Months
BUY NOW
Chat With Us