arrow
arrow
arrow
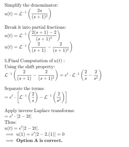
Let u be the solution of the Volterra integral equation:
Question

Let u be the solution of the Volterra integral equation:

A.

0

B.

1

C.

2

D.

​​

Correct option is A

test-prime-package

Access ‘CSIR NET Mathematical Sciences’ Mock Tests with

  • 60000+ Mocks and Previous Year Papers
  • Unlimited Re-Attempts
  • Personalised Report Card
  • 500% Refund on Final Selection
  • Largest Community
students-icon
398k+ students have already unlocked exclusive benefits with Test Prime!
test-prime-package

Access ‘CSIR NET Mathematical Sciences’ Mock Tests with

  • 60000+ Mocks and Previous Year Papers
  • Unlimited Re-Attempts
  • Personalised Report Card
  • 500% Refund on Final Selection
  • Largest Community
students-icon
398k+ students have already unlocked exclusive benefits with Test Prime!
Our Plans
Monthsup-arrow