hamburger menu
All Coursesall course arrow
adda247
reward-icon
adda247
    arrow
    arrow
    arrow
    ​ Let f be a meromorphic function on an open set containing the unit circle and its interior. suppose that f has no poles on C ,
    Question

    ​ Let f be a meromorphic function on an open set containing 

    the unit circle and its interior. suppose that f has no poles on C ,

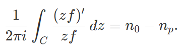
    A.

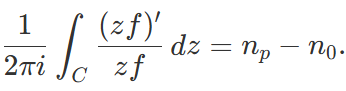
    B.

    ​​​

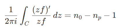
    C.

    ​​​

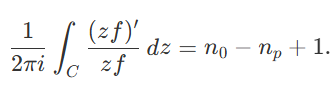
    D.

    ​​​

    Correct option is A

    Result : Arguement principle :

    ​ 

    ​​

    test-prime-package

    Access ‘CSIR NET- GENERAL APTITUDE’ Mock Tests with

    • 60000+ Mocks and Previous Year Papers
    • Unlimited Re-Attempts
    • Personalised Report Card
    • 500% Refund on Final Selection
    • Largest Community
    students-icon
    383k+ students have already unlocked exclusive benefits with Test Prime!
    test-prime-package

    Access ‘CSIR NET- GENERAL APTITUDE’ Mock Tests with

    • 60000+ Mocks and Previous Year Papers
    • Unlimited Re-Attempts
    • Personalised Report Card
    • 500% Refund on Final Selection
    • Largest Community
    students-icon
    383k+ students have already unlocked exclusive benefits with Test Prime!
    Our Plans
    Monthsup-arrow