hamburger menu
All Coursesall course arrow
adda247
reward-icon
adda247
    arrow
    arrow
    arrow
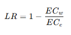
    Leaching requirement (LR) is calculated as:
    Question

    Leaching requirement (LR) is calculated as:

    A.

    LR = 1 – ECw/ECe

    B.

    LR = ECw/ECe

    C.

    LR = (ECe – ECw)/ECe

    D.

    LR = 1 + ECw/ECe

    Correct option is A



    Where:
    · ECw = salinity of irrigation water
    · ECe = maximum permissible salinity of soil saturation extract
    Why other options are wrong
    · (b) Wrong formula.
    · (c) Not used in LR calculation.
    · (d) Incorrect; LR cannot exceed 1 by definition.

    Free Tests

    Free
    Must Attempt

    Genetics & Plant Breeding Chapter Test

    languageIcon English
    • pdpQsnIcon20 Questions
    • pdpsheetsIcon80 Marks
    • timerIcon24 Mins
    languageIcon English
    Free
    Must Attempt

    CUET PG Agribusiness Management (ABM) Full Mock Test : 01

    languageIcon English
    • pdpQsnIcon75 Questions
    • pdpsheetsIcon300 Marks
    • timerIcon90 Mins
    languageIcon English
    Free
    Must Attempt

    Fundamentals of Food Safety: Definitions, Additives & Contaminants

    languageIcon English
    • pdpQsnIcon30 Questions
    • pdpsheetsIcon30 Marks
    • timerIcon27 Mins
    languageIcon English
    TEST PRIME

    Access ‘ASRB NET’ Mock Tests with

    • 60000+ Mocks and Previous Year Papers
    • Unlimited Re-Attempts
    • Personalised Report Card
    • 500% Refund on Final Selection
    • Largest Community
    1 month
    students-icon
    368k+ students have already unlocked exclusive benefits with Test Prime!
    Our Plans
    Monthsup-arrow