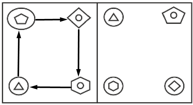
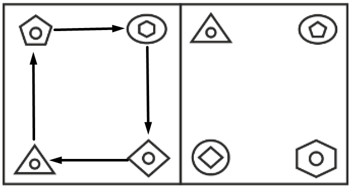
Correct option is D
Logic: Each figure is moving clock wise and inside figure out side and vice versa.

Only option (d) follows the same logic.

Thus, correct option is (d).



Select the option that is related to Figure C in the same way as Figure B is related to Figure A.






Among the four answer figures, which can be formed from the cut pieces given below?

Figure A is related to B in a certain pattern. Following the same pattern, figure C is related to D. Study the pattern and select the figure which should be placed in place of D.



Suggested Test Series
Suggested Test Series