hamburger menu
All Coursesall course arrow
adda247
reward-icon
adda247
    arrow
    arrow
    arrow
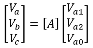
    In the symmetrical component expression of voltages, we have where matrix [A] is
    Question

    In the symmetrical component expression of voltages, we have

    where matrix [A] is

    A.


    B.


    C.


    D.


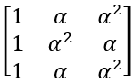
    Correct option is C


    The relation between the line voltages in terms of the symmetrical components of voltages is given below.

    test-prime-package

    Access ‘MPPSC’ Mock Tests with

    • 60000+ Mocks and Previous Year Papers
    • Unlimited Re-Attempts
    • Personalised Report Card
    • 500% Refund on Final Selection
    • Largest Community
    students-icon
    354k+ students have already unlocked exclusive benefits with Test Prime!
    test-prime-package

    Access ‘MPPSC’ Mock Tests with

    • 60000+ Mocks and Previous Year Papers
    • Unlimited Re-Attempts
    • Personalised Report Card
    • 500% Refund on Final Selection
    • Largest Community
    students-icon
    354k+ students have already unlocked exclusive benefits with Test Prime!
    Our Plans
    Monthsup-arrow