hamburger menu
All Coursesall course arrow
adda247
reward-icon
adda247
    arrow
    arrow
    arrow
    In how many years, Rs. 80,000 will become Rs. 92,610 at 10% per annum interest compounded half yearly?
    Question

    In how many years, Rs. 80,000 will become Rs. 92,610 at 10% per annum interest compounded half yearly?

    A.

    3 years

    B.

    2 years

    C.

    1½ years

    D.

    1 year

    Correct option is C


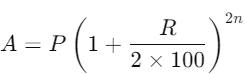
    Given: Principal (P) = Rs. 80,000, Amount (A) = Rs. 92,610, Rate of interest (R) = 10% per annum compounded half-yearly.
    Formula Used: For compound interest compounded half-yearly:

    Where:
    · n = number of years
    · R = rate of interest per annum
    Solution:


    Hence, 2n=3, so n=3/2=1.5 years

    Free Tests

    Free
    Must Attempt

    Rajasthan GK Subject Test :03

    languageIcon English
    • pdpQsnIcon10 Questions
    • pdpsheetsIcon10 Marks
    • timerIcon8 Mins
    languageIcon English
    Free
    Must Attempt

    RRB NTPC UG Level PYP (Held on 7 Aug 2025 S1)

    languageIcon English
    • pdpQsnIcon100 Questions
    • pdpsheetsIcon100 Marks
    • timerIcon90 Mins
    languageIcon English
    Free
    Must Attempt

    General Awareness Subject Test :01

    languageIcon English
    • pdpQsnIcon10 Questions
    • pdpsheetsIcon10 Marks
    • timerIcon8 Mins
    languageIcon English

    Similar Questions

    test-prime-package

    Access ‘Rajasthan CET Graduate Level’ Mock Tests with

    • 60000+ Mocks and Previous Year Papers
    • Unlimited Re-Attempts
    • Personalised Report Card
    • 500% Refund on Final Selection
    • Largest Community
    students-icon
    354k+ students have already unlocked exclusive benefits with Test Prime!
    Our Plans
    Monthsup-arrow