hamburger menu
All Coursesall course arrow
adda247
reward-icon
adda247
    arrow
    arrow
    arrow
    In a certain language- ‘E + F’ means ‘E is the father of F’ ‘E – F’ means ‘E is the sister of F’ ‘E × F’ means ‘E is the brother of F’ ‘E
    Question

    In a certain language-
    ‘E + F’ means ‘E is the father of F’
    ‘E – F’ means ‘E is the sister of F’
    ‘E × F’ means ‘E is the brother of F’
    ‘E ÷ F’ means ‘E is the son of F’
    If ‘B – C + Z × G + Q’, how is C related to Q?

    A.

    Son

    B.

    Son’s Son

    C.

    Father’s Father

    D.

    Brother

    Correct option is C


    Symbol in Diagram
    Meaning
    - /
    Female
    +/
    Male

    Married Couple

    Siblings

    Difference Of Generation
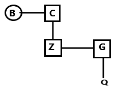
    As per the question-
    +
    Father
    -
    Sister
    ×
    Brother
    ÷
    Son
    ‘B – C + Z × G + Q: B is the sister of C, C is the father of Z, Z is the brother of G and G is the father of Q.

    From the above family diagram C is the father’s father of Q.
    Correct answer is (c) Father’s Father.

    Free Tests

    Free
    Must Attempt

    SSC GD PYP (Held on 4 Feb 2025 S1)

    languageIcon English
    • pdpQsnIcon80 Questions
    • pdpsheetsIcon160 Marks
    • timerIcon60 Mins
    languageIcon English
    Free
    Must Attempt

    Hindi Section Test 1

    languageIcon English
    • pdpQsnIcon20 Questions
    • pdpsheetsIcon40 Marks
    • timerIcon12 Mins
    languageIcon English
    Free
    Must Attempt

    SSC GD Constable Full Mock Test 1

    languageIcon English
    • pdpQsnIcon80 Questions
    • pdpsheetsIcon160 Marks
    • timerIcon60 Mins
    languageIcon English

    Similar Questions

    test-prime-package

    Access ‘SSC Stenographer’ Mock Tests with

    • 60000+ Mocks and Previous Year Papers
    • Unlimited Re-Attempts
    • Personalised Report Card
    • 500% Refund on Final Selection
    • Largest Community
    students-icon
    354k+ students have already unlocked exclusive benefits with Test Prime!
    Our Plans
    Monthsup-arrow