Correct option is A
Given:


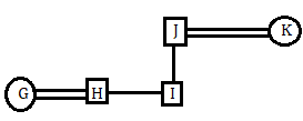
'G × H+I-J÷K’ = G is the wife of H, H is the brother of I, I is the son of J and J is the husband of K.
Thus, the correct family diagram will be-

From the above family diagram J is the father of H.
Thus, the correct answer is (a) Father.