All Courses
Bank Maha Pack
Kamyab Diwas 2026
Bank Exams 2026-27
RBI Assistant
SBI PO
IBPS PO
IBPS RRB PO Clerk
Bankers Adda
SBI Clerk
IBPS Clerk
Bank of Baroda
SBI CBO
RBI Attendant
LIC AAO
NIACL AO
ECGC PO
RBI Grade B
NICL
SEBI
Bank Batches 2025
Indian Bank Apprentice
IBPS SO
Indian Overseas Bank
NIACL Apprentice
Union Bank Apprentice
Indian Overseas Bank Apprentice
Bank Foundation Batches 2025
IBPS RRB Clerk
LIC Assistant
UIIC
Bank of India
MP Cooperative Bank
Nainital Bank
IRDAI Assistant Manager
Rajasthan Cooperative Bank
IBPS RRB GBO SO
IDBI
HDFC Bank
IBPS RRB SO
AIC
Punjab & Sind Bank
Union Bank SO
Banking Books
CBI Apprentice
Bihar State Co-operative Bank
Banking Offline
BOB LBO
IBPS SO IT Officer
IB ACIO
NIACL Assistant
IBPS RRB PO
OICL
HPSCB
AI Skills
JAIIB CAIIB MAHAPACK
Bombay High Court
NABARD
Bank Of Maharashtra
MP Apex Bank
SBI SO
NABARD Development Assistant
IBPS Deputy Manager
Assam Apex Bank
Home
Mathematics
Logarithm
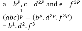
If then what is equal to?
Question
If
then what is
equal to?
A.
B.
bdf
C.
D.
Solution
Correct option is A
Given:
Solution:
Free Tests
Free
Must Attempt
Set Theory
English
10 Questions
10 Marks
10 Mins
Attempt now
English
Free
Must Attempt
AAI Junior Executive (ATC) Mock 1
English
120 Questions
120 Marks
120 Mins
Attempt now
English
Free
Must Attempt
Indian Air Force AFCAT II 2025 Mock 01
English
100 Questions
300 Marks
120 Mins
Attempt now
English
View More
Access ‘NDA and NA’ Mock Tests with
60000+ Mocks and Previous Year Papers
Unlimited Re-Attempts
Personalised Report Card
500% Refund on Final Selection
Largest Community
BUY NOW
383k+ students have already unlocked exclusive benefits with Test Prime!
Suggested Test Series
AAI ATC Junior Executive Mock Test Series 2025
AAI ATC Junior Executive Mock Test Series 2025
329 Tests
+ 2 Free Tests
AFCAT 2 Mock Test 2025
AFCAT 2 Mock Test 2025
370 Tests
+ 2 Free Tests
Indian Coast Guard Navik (GD & DB) Mock Test 2025
Indian Coast Guard Navik (GD & DB) Mock Test 2025
114 Tests
+ 3 Free Tests
UPSC CDS Mock Test
UPSC CDS Mock Test
144 Tests
+ 3 Free Tests
MES MATE Mock Test 2025
MES MATE Mock Test 2025
48 Tests
+ 2 Free Tests
View More
Access ‘NDA and NA’ Mock Tests with
60000+ Mocks and Previous Year Papers
Unlimited Re-Attempts
Personalised Report Card
500% Refund on Final Selection
Largest Community
BUY NOW
383k+ students have already unlocked exclusive benefits with Test Prime!
Suggested Test Series
AAI ATC Junior Executive Mock Test Series 2025
AAI ATC Junior Executive Mock Test Series 2025
329 Tests
+ 2 Free Tests
AFCAT 2 Mock Test 2025
AFCAT 2 Mock Test 2025
370 Tests
+ 2 Free Tests
Indian Coast Guard Navik (GD & DB) Mock Test 2025
Indian Coast Guard Navik (GD & DB) Mock Test 2025
114 Tests
+ 3 Free Tests
UPSC CDS Mock Test
UPSC CDS Mock Test
144 Tests
+ 3 Free Tests
MES MATE Mock Test 2025
MES MATE Mock Test 2025
48 Tests
+ 2 Free Tests
View More
Our Plans
Months
BUY NOW
Chat With Us