hamburger menu
All Coursesall course arrow
adda247
reward-icon
adda247
    arrow
    arrow
    arrow
    If P+Q means P is the brother of Q, P * Q means P is the mother of Q, P÷Q means P is the father of Q and P-Q means P is the sister of Q. If A × B ÷
    Question

    If P+Q means P is the brother of Q, P * Q means P is the mother of Q, P÷Q means P is the father of Q and P-Q means P is the sister of Q. If A × B ÷ C - D + E – F, then how is A related to E?

    A.

    Father's mother

    B.

    Father

    C.

    Mother

    D.

    Father's sister

    Correct option is A


    P + Q: P is the brother of Q.
    P ÷ Q: P is the father of Q.
    P - Q: P is the sister of Q.
    P × Q: P is the mother of Q.
    Given: 

    Symbols
    +
    ×
    ÷
    -
    Relations
    Brother
    Mother
    Father
    Sister

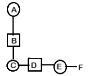
    Expression: A × B ÷ C - D + E – F

    From the above family diagram, A is the Father’s mother of E.

    Free Tests

    Free
    Must Attempt

    SSC GD PYP (Held on 4 Feb 2025 S1)

    languageIcon English
    • pdpQsnIcon80 Questions
    • pdpsheetsIcon160 Marks
    • timerIcon60 Mins
    languageIcon English
    Free
    Must Attempt

    Hindi Section Test 1

    languageIcon English
    • pdpQsnIcon20 Questions
    • pdpsheetsIcon40 Marks
    • timerIcon12 Mins
    languageIcon English
    Free
    Must Attempt

    SSC GD Constable Full Mock Test 1

    languageIcon English
    • pdpQsnIcon80 Questions
    • pdpsheetsIcon160 Marks
    • timerIcon60 Mins
    languageIcon English

    Similar Questions

    test-prime-package

    Access ‘SSC GD’ Mock Tests with

    • 60000+ Mocks and Previous Year Papers
    • Unlimited Re-Attempts
    • Personalised Report Card
    • 500% Refund on Final Selection
    • Largest Community
    students-icon
    368k+ students have already unlocked exclusive benefits with Test Prime!
    Our Plans
    Monthsup-arrow