arrow
arrow
arrow
If are roots of the equation are integers, then which one of the following is correct?
Question

If are roots of the equation are integers, then which one of the following is correct?

A.


B.


C.


D.


Correct option is C


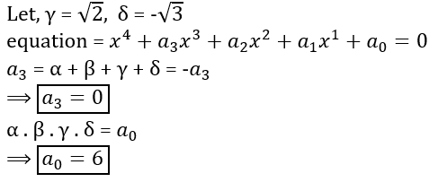
Given:

Solution:

Free Tests

Free
Must Attempt

Set Theory

languageIcon English
  • pdpQsnIcon10 Questions
  • pdpsheetsIcon10 Marks
  • timerIcon10 Mins
languageIcon English
Free
Must Attempt

AAI Junior Executive (ATC) Mock 1

languageIcon English
  • pdpQsnIcon120 Questions
  • pdpsheetsIcon120 Marks
  • timerIcon120 Mins
languageIcon English
test-prime-package

Access ‘NDA and NA’ Mock Tests with

  • 60000+ Mocks and Previous Year Papers
  • Unlimited Re-Attempts
  • Personalised Report Card
  • 500% Refund on Final Selection
  • Largest Community
students-icon
399k+ students have already unlocked exclusive benefits with Test Prime!
test-prime-package

Access ‘NDA and NA’ Mock Tests with

  • 60000+ Mocks and Previous Year Papers
  • Unlimited Re-Attempts
  • Personalised Report Card
  • 500% Refund on Final Selection
  • Largest Community
students-icon
399k+ students have already unlocked exclusive benefits with Test Prime!
Our Plans
Monthsup-arrow