Correct option is C
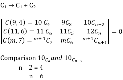
for every m>n ?
If in a triangle ABC, sin³A + sin³B + sin³C = 3 sinA sinB sinC, then what is the value of the determinant

are sides of the triangle?
for every m>n ?
If x, y, z are all distinct and

then the value of xyz is:
Suggested Test Series
Suggested Test Series