hamburger menu
All Coursesall course arrow
adda247
reward-icon
adda247
    Question


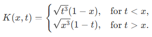
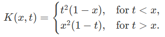
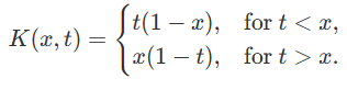
    A.

    ​​​

    B.

    ​​​

    C.


    D.

    ​​​

    Correct option is A

    To derive K(x,t), the solution to y(x)+2y(x)=0 is written as:y(x)=Asin(2x)+Bcos(2x),where A and B are constants determined by the boundary conditions. For the Green’s function:K(x,t) must behave differently depending on whether tx or tx.For 0tx,K(x,t)tsin(2x),For xt1,K(x,t)xsin(2t).Thus, the kernel is written as:K(x,t)={tsin(2x),if 0tx,xsin(2t),if xt1.This ensures that K(x,t) is continuous and satisfies the symmetry and boundary conditions.\text{To derive } K(x, t), \text{ the solution to } y''(x) + 2y(x) = 0 \text{ is written as:} \\y(x) = A\sin(\sqrt{2}x) + B\cos(\sqrt{2}x), \\\text{where } A \text{ and } B \text{ are constants determined by the boundary conditions. For the Green's function:} \\K(x, t) \text{ must behave differently depending on whether } t \leq x \text{ or } t \geq x. \\\text{For } 0 \leq t \leq x, \quad K(x, t) \propto t \sin(\sqrt{2}x), \\\text{For } x \leq t \leq 1, \quad K(x, t) \propto x \sin(\sqrt{2}t). \\\text{Thus, the kernel is written as:} \\K(x, t) = \begin{cases} t \sin(\sqrt{2}x), & \text{if } 0 \leq t \leq x, \\x \sin(\sqrt{2}t), & \text{if } x \leq t \leq 1.\end{cases} \\\text{This ensures that } K(x, t) \text{ is continuous and satisfies the symmetry and boundary conditions.} 

    ​​​


    test-prime-package

    Access ‘CSIR NET- GENERAL APTITUDE’ Mock Tests with

    • 60000+ Mocks and Previous Year Papers
    • Unlimited Re-Attempts
    • Personalised Report Card
    • 500% Refund on Final Selection
    • Largest Community
    students-icon
    383k+ students have already unlocked exclusive benefits with Test Prime!
    test-prime-package

    Access ‘CSIR NET- GENERAL APTITUDE’ Mock Tests with

    • 60000+ Mocks and Previous Year Papers
    • Unlimited Re-Attempts
    • Personalised Report Card
    • 500% Refund on Final Selection
    • Largest Community
    students-icon
    383k+ students have already unlocked exclusive benefits with Test Prime!
    Our Plans
    Monthsup-arrow