hamburger menu
All Coursesall course arrow
adda247
reward-icon
adda247
    arrow
    arrow
    arrow
    For each 10°C rise in temperature, the rate of biological processes roughly increases by:
    Question



    For each 10°C rise in temperature, the rate of biological processes roughly increases by:

    A.

    2 times

    B.

    3 times

    C.

    4 times

    D.

    5 times

    Correct option is A


    Q10 Temperature Coefficient:
    · The Q10 coefficient measures the rate of change in biological or chemical processes due to a 10°C increase in temperature.
    · For most biological processes, the Q10 value is approximately 2, meaning the rate doubles for every 10°C rise in temperature.
    Impact on Enzymatic Reactions:
    · Enzymatic activity increases with temperature as molecules collide more frequently, accelerating reactions.
    · Beyond a certain point, enzymes denature, causing the rate to decline.
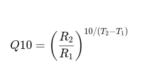
    Information Booster: 1. Q10 Formula:

    · R1​ and R2​: Reaction rates at temperatures T1​ and T2​.
    2. Typical Q10 Ranges:
    · Biological processes: 2-3.
    · Chemical reactions: Higher values depending on the reaction.
    3. Applications:
    · Studying metabolic rates in organisms.
    · Predicting the effects of global warming on ecosystems

    Free Tests

    Free
    Must Attempt

    Basics of Education: Pedagogy, Andragogy, and Hutagogy

    languageIcon English
    • pdpQsnIcon10 Questions
    • pdpsheetsIcon20 Marks
    • timerIcon12 Mins
    languageIcon English
    Free
    Must Attempt

    UGC NET Paper 1 Mock Test 1

    languageIcon English
    • pdpQsnIcon50 Questions
    • pdpsheetsIcon100 Marks
    • timerIcon60 Mins
    languageIcon English
    Free
    Must Attempt

    Basics of Education: Pedagogy, Andragogy, and Hutagogy

    languageIcon English
    • pdpQsnIcon10 Questions
    • pdpsheetsIcon20 Marks
    • timerIcon12 Mins
    languageIcon English
    test-prime-package

    Access ‘UGC NET EVS’ Mock Tests with

    • 60000+ Mocks and Previous Year Papers
    • Unlimited Re-Attempts
    • Personalised Report Card
    • 500% Refund on Final Selection
    • Largest Community
    students-icon
    383k+ students have already unlocked exclusive benefits with Test Prime!
    Our Plans
    Monthsup-arrow