arrow
arrow
arrow
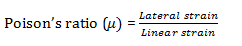
For an isotropic homogeneous body, the ratio of lateral strain to axial strain is called as:
Question

For an isotropic homogeneous body, the ratio of lateral strain to axial strain is called as:

A.

modulus of elasticity

B.

plasticity index

C.

Poisson’s ratio

D.

yield value

Correct option is C



Similar Questions

test-prime-package

Access ‘SSC JE Civil’ Mock Tests with

  • 60000+ Mocks and Previous Year Papers
  • Unlimited Re-Attempts
  • Personalised Report Card
  • 500% Refund on Final Selection
  • Largest Community
students-icon
383k+ students have already unlocked exclusive benefits with Test Prime!
test-prime-package

Access ‘SSC JE Civil’ Mock Tests with

  • 60000+ Mocks and Previous Year Papers
  • Unlimited Re-Attempts
  • Personalised Report Card
  • 500% Refund on Final Selection
  • Largest Community
students-icon
383k+ students have already unlocked exclusive benefits with Test Prime!
Our Plans
Monthsup-arrow