hamburger menu
All Coursesall course arrow
adda247
reward-icon
adda247
    arrow
    arrow
    arrow
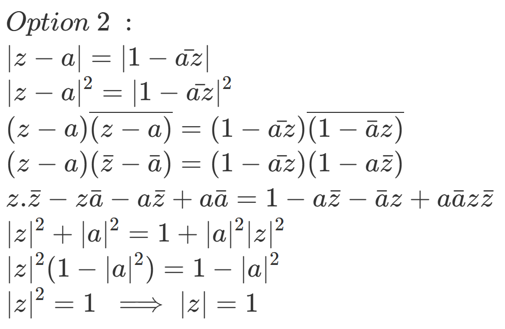
    For a complex number aaa such that 0<∣a∣<10 < |a| < 10<∣a∣<1, which of the following statements is true?​
    Question

    For a complex number aaa such that 0<∣a∣<10 < |a| < 10<a<1, which of the following statements is true?​

    A.

    B.

    C.


    D.


    Correct option is B

    ​​​

    test-prime-package

    Access ‘CSIR NET- GENERAL APTITUDE’ Mock Tests with

    • 60000+ Mocks and Previous Year Papers
    • Unlimited Re-Attempts
    • Personalised Report Card
    • 500% Refund on Final Selection
    • Largest Community
    students-icon
    353k+ students have already unlocked exclusive benefits with Test Prime!
    test-prime-package

    Access ‘CSIR NET- GENERAL APTITUDE’ Mock Tests with

    • 60000+ Mocks and Previous Year Papers
    • Unlimited Re-Attempts
    • Personalised Report Card
    • 500% Refund on Final Selection
    • Largest Community
    students-icon
    353k+ students have already unlocked exclusive benefits with Test Prime!
    Our Plans
    Monthsup-arrow