Correct option is B
Given:
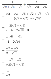
To find: value of
Solution:

Find the value of

The value of
Evaluate 742.
Simplify the expression:
27³ + 10³ – 29³ + 246 is equal to:
The value of √400 + √0.0225 – √9 is __________.
The value of √(144 ) + √0.0225 - √9 =
The value of is _________.
Which is greater: √45 or √49 – 1 ?
What value will come in place of question mark (?) in the following question?
Suggested Test Series
Suggested Test Series