Correct option is E
From A. We can’t find anything
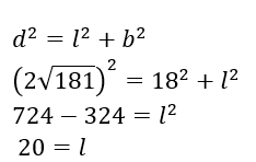
From B. Let the length and the breadth of the rectangle be l cm and b cm respectively.
ATQ,

Side of the square = 20+5=25 cm
Required area = 25² = 625 cm²
From A. We can’t find anything
From B. Let the length and the breadth of the rectangle be l cm and b cm respectively.
ATQ,

Side of the square = 20+5=25 cm
Required area = 25² = 625 cm²
If the mean proportional of A and 27 is 18, then find the value of A.
If the price of rice increases by 20% and a person reduces its consumption by 20%, by what percentage will his total expenditure on rice decrease?
Find the smallest number which when increased by 20 is completely divisible by 12, 20, 15, 18 and 24.
The count of a certain breed of bacteria was found to increase at the rate of 4% per hour and then decrease by 2% per hour. Find the bacteria at the end of 2 hours if the count was 2,00,000 initially.
A typist takes 40 minutes to type 2 pages. How long (in minutes) will he take to type 110 pages?
If the mean proportional of A and 27 is 18, then find the value of A.
If the price of rice increases by 20% and a person reduces its consumption by 20%, by what percentage will his total expenditure on rice decrease?
Find the smallest number which when increased by 20 is completely divisible by 12, 20, 15, 18 and 24.
The count of a certain breed of bacteria was found to increase at the rate of 4% per hour and then decrease by 2% per hour. Find the bacteria at the end of 2 hours if the count was 2,00,000 initially.
A typist takes 40 minutes to type 2 pages. How long (in minutes) will he take to type 110 pages?
Suggested Test Series
Suggested Test Series