Correct option is E
The pattern of the series:

Find out the wrong number.
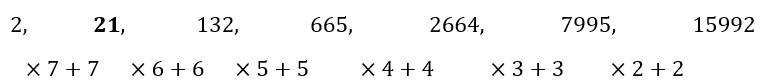
2, 20, 132, 665, 2664, 7995, 15992
The pattern of the series:

Find out the wrong number.
6, 12, 28, 59, 120, 241
Find out the wrong number.
2, 20, 132, 665, 2664, 7995, 15992
Suggested Test Series
Suggested Test Series