Correct option is C
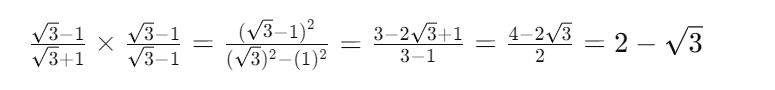
To simply we will rationalize the Denominator
For the first fraction :
For the first fraction :

For the second Fraction:

Now square the expression and add them by adding we get

Expanding:

Combing and adding them we get 14