Correct option is C
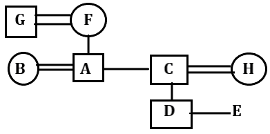
From the given information following family diagram can be drawn-


From the above family diagram, A is the Paternal Uncle of D.
Correct answer is (c) Paternal Uncle
Eight people, namely A, B, C, D, E, F, G and H are sitting around a dining table. D is the brother of E. G’s wife is F. B is A’s wife. C is married to H. A is C’s brother. F is the mother-in-law of B. C is the father of his only son D. How is A related to D?
From the given information following family diagram can be drawn-


From the above family diagram, A is the Paternal Uncle of D.
Correct answer is (c) Paternal Uncle
In a certain code language,
‘A + B’ means ‘A is the mother of B’,
‘A – B’ means ‘A is the brother of B’,
‘A × B’ means ‘A is the husband of B’ and
‘A ÷ B’ means ‘A is the father of B’.
How is M related to K if ‘M + N ÷ L – J × K’?
K is the sister of L. L is the son of M. M is the wife of N. N is the brother of O. How is K related to O?
In a certain code language,
‘A + B’ means ‘A is the mother of B’,
‘A - B’ means ‘A is the brother of B’,
‘A × B’ means ‘A is the wife of B’,
‘A % B’ means ‘A is the father of B’ and
‘A # B’ means ‘A is the daughter of B’.
How is N related to T if ‘C % T # E + P x N’?
In a certain code language,
A + B means ‘A is the mother of B’,
A – B means ‘A is the brother of B’,
A x B means ‘A is the wife of B’,
A % B means ‘A is the father of B’,
and A # B means ‘A is the daughter of B’.
How is E related to K if ‘K x N – L # E % C’?
In a certain code language,
' A+B ' means ' A is the daughter of B ',
' A - B ' means ' A is the husband of B ',
' A×B ' means ' A is the wife of B ' and
' A÷B ' means ' A is the son of B '.
How is P related to T if ' P+Q-R+S×T'?
R is the sister of S. J is the mother of R. I is the husband of J. T is the daughter of I. D is the mother of J. C is the father of T's mother. How is D related to T?
If the second half of the word CONSCIENCE is reversed, which of the following will be the third to the right of the sixth letter from the left end?
A, who is the son of F, is married to B whose brother is C. D is the wife of C and daughter of E. E is married to F. How is A related to E?
In this question, a statement is given followed by two conclusions numbered i and ii.
You have to assume everything in the statement to be true, then consider the two conclusions together and decide which of them logically follows beyond a reasonable doubt from the information given in the statement.
Statement: Sachin scored a total of 200 in 2 matches.
Conclusion:
i) Sachin hit 2 centuries
ii) Sachin hit 4 half centuries
Choose the appropriate one from the following options
(A) Only conclusion i follows
(B) Only conclusion ii follows
(C) Either i or ii follows
(D) Neither i nor ii follows and
(E) Both i and ii follow.
Pointing to a man, a girl said, "He is the brother of my grandmother's only child's husband's only brother." How is the man related to the girl?
Suggested Test Series
Suggested Test Series